Introduction into combustion analysis
The following document will introduce you into the world of advanced engine development. Combustion analysis used to be a privilege of high class motorsport teams and OEM-s, but not anymore! We, at BDN Automotive aim to make this state-of-the-art technology available for everyone! Enjoy your journey, and do not hesitate to contact us!

Basics of Combustion Analysis
Figure 1: Cylinder pressure against crank angle [1]
- Pressure Gradient [bar / deg]
- Heat Release [J / deg]
- Cumulated Heat Release [J]
- Normalised Heat Release
Figure 2: Cylinder pressure curve with the calculated functions [1]
- Peak Cylinder Pressure
- Peak Cylinder Pressure Location
- Mass Fraction Burned location values, such as:
- MFB5: Start of combustion (SoC could be defined differently, depends on the user’s needs)
- MFB50: Crank angle position where 50% of the heat is released
- MFB95: End of combustion (EoC could be defined differently, depends on the user’s needs)
- Combustion duration
- IMEP (Indicated Mean Effective Pressure)
- High-pressure IMEP (compression + expansion)
- Low-pressure IMEP (gas exchange)
- Gross IMEP (all four strokes)
- Knock amplitude
The commonly used parameters for engine calibration
MFB50
Knock amplitude
IMEP (gross)
Abnormal Combustion – Knock Phenomena
Figure 3: Fundamental knock frequencies based on bore size [7]
Figure 4: Frequency analysis of non-knocking cycles
Figure 5: Frequency analysis of knocking cycles
Auto-ignition
Pre-ignition
As the above-mentioned definition states, a knocking event causes high frequency pressure oscillation that could be observed on the cylinder pressure trace. As a pressure wave always propagates with the local speed of sound, the frequency of that oscillation would be affected by the internal dimensions of the engine, mainly by the cylinder bore [7]. As an example, a knocking cycle is shown on Figure 6 with approximately 5 bars knock amplitude.
Figure 6: Analysis of a heavily knocking cycle [1]
Where could combustion analysis be used?
Engine Calibration
- peak pressure is heavily influenced
- the area under the pressure curve – which correlates to work – is heavily influenced
Figure 7: Theoretical influence of altering the spark advance on the cylinder pressure trace [6]
Figure 8 demonstrates a comparison between cylinder pressure traces in the combustion phase for different ECU setpoints. Two different air-to-fuel ratio and ignition timing variations are investigated to observe the influence of the different calibration factors at the same operating point.
Understanding Design Principles
Ignition delay
Valve timing effects
- EVO – Exhaust valve opening
- IVO – Inlet valve opening
Figure 9: Cylinder pressure trace with the notable events
- The exhaust valve opens roughly 30° BBDC, where cylinder pressure starts to decrease rapidly
- As the engine is turbocharged running on high intake air temperature, ignition timing needs to be retarded in order to avoid auto-ignition. As an consequence, peak cylinder pressure arises at around 30°ATDC. It is clearly visible that the actual “effective” expansion ratio until the EVO point is significantly lower than the theoretical (geometrical) one.
- The cylinder pressure is significantly higher compared to the theoretically expected value between 180° and 360° (exhaust stroke). That is mainly due to the high backpressure caused by the undersized turbocharger. That increased pressure generates significant negative work and increases pumping losses.
- The cylinder pressure rises at IVO as the intake plenum pressure is higher than the pressure in the cylinder.
Cyclic dispersion
Figure 10: Cyclic dispersion
The conclusion here is to monitor all cycle parameters as an average for a given number of cycles to avoid inaccurate information. Cyclic dispersion though is a valuable information which reflects an engine’s NVH (noise, vibration, and harshness) properties.
Model Validations
- Gas-Exchange simulation
- Combustion simulation
- FEM simulation of structural parts
- 1D engine simulation
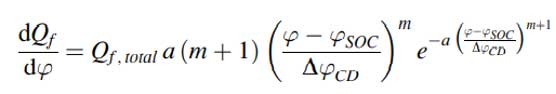
Figure 11: Vibe function [10]
Figure 12: Engine speed dependent combustion characteristics [6]
Engine Diagnostics
Figure 13: Diesel engine diagnostics
Instrumentation
Figure 14: Drill-in pressure sensor mounted to a cylinder head [6]
- Drill-in sensors (Figure 14)
- Sensor integrated into the spark plug or glow plug
The main properties of the two groups of sensors are:
Drill in sensors:
- Direct contact with the combustion chamber – higher resolution and frequency response
- Cylinder head needs to be modified – not every type of cylinder head allows the sensors to be mounted in each cylinder
- Due to the higher accuracy and the need for machining is mainly used for thermodynamic validation and first phase engine development
Spark plug/glow plug mounted sensors:
- Usually, the sensor does not have a direct contact with the combustion chamber – lower resolution due to the limited frequency respond
- Easy to mount, machining is not required
- Mainly used for customer projects / calibration
Figure 15: Influence of the pressure sensor mounting place on the pressure trace [9]
As it was mentioned earlier the pressure sensor needs to be selected always for the given application. Figure 16 summarises the experience gained during the test procedures at BDN Automotive®. As the comparison shows there is no generic optimal choice. In addition, it has to be mentioned that piezoelectric sensors require an additional charge amplifier that further increases cost and complexity.
Figure 16: Comparison of different pressure sensors
Conclusion
In case you have any questions about the topic, the product, or the technology, feel free to contact us!
References
[2] Gordon P. Blair, Design and Simulation of Four-Stroke Engines. Warrendale, PA: Society of Automotive Engineers, 1999.
[3] J. B. Heywood, Internal Combustion Engine (ICE) Fundamentals. McGraw-Hill, Inc, 1988.
[4] Greg Banish, Engine Management: Advanced Tuning. CarTech, 2007.
[5] D. J. Stadler, D. T. Walter, D. P. Wolfer, K. I. Ag, and C. Gossweiler, “Pressure Sensors,” Winterthur.
[6] N. Ludescher, “Defining Real-Time Combustion Control Strategies Using In-cylinder Pressure Measurement,” Cranfield University, 2020.
[7] J. M. Steven M. Dues, “Combustion Knock Sensing: Sensor Selection and Application Issues. SAE Technical Paper No.:900488,” 1990.
[8] N. Ludescher, “Performance Tuning of an Internal Combustion Engine Using Water-methanol Injection System,” Széchenyi István University, 2017.
[9] A. Bertola et al., “Pressure indication during knocking conditions,” pp. 7–21.
[10] G. P. Merker, C. Schwarz, and R. Teichmann, Combustion engines development : mixture formation, combustion, emissions and simulation. Berlin, New York: Springer, 2012.

















